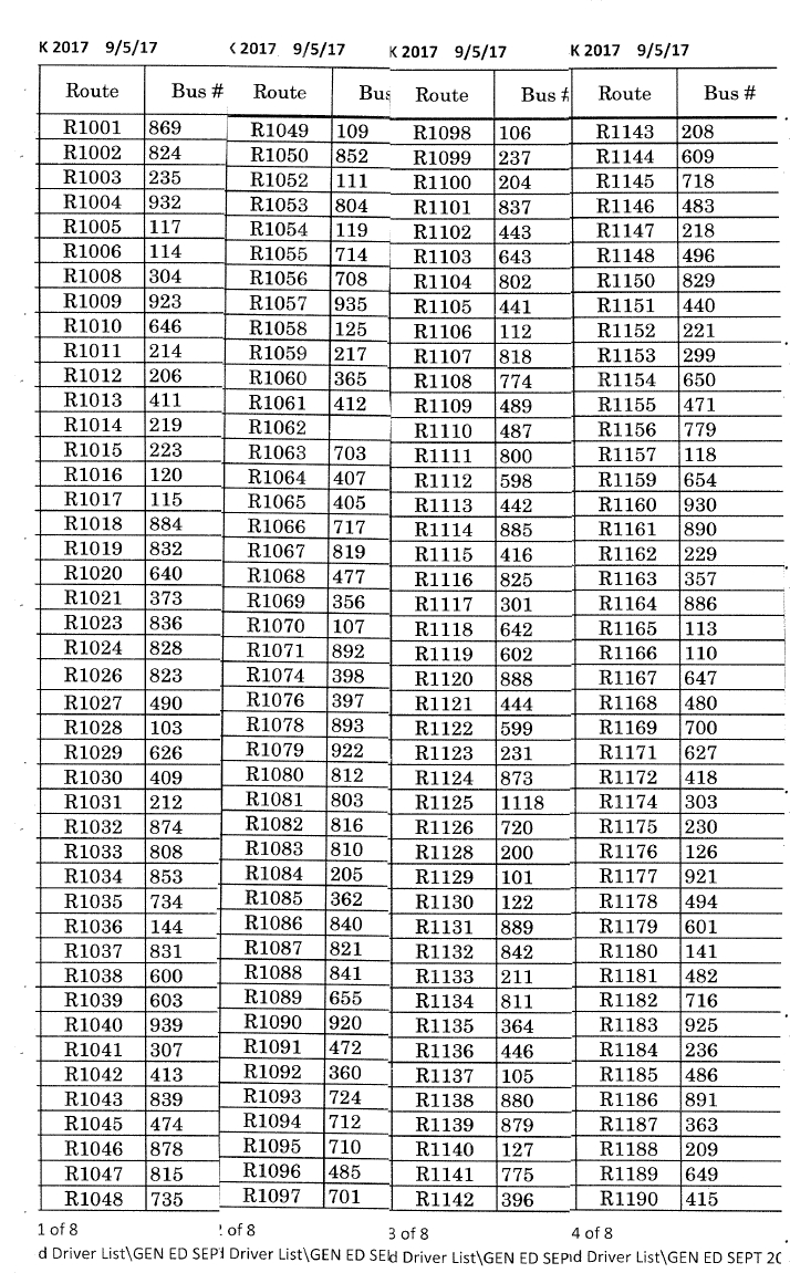
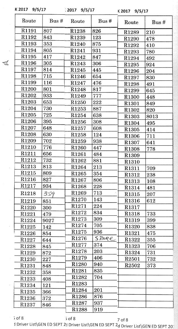
Bus Assignment List

Started by Buzz, September 05, 2017, 06:07:54 PM

Previous topic - Next topic

Buzz

Sorry for the delay, but Bobby just sent it to me minutes ago.






I am patient with stupidity, but not with those who are proud of it.

yabba

thanks buzz   now can you add a list as to where in the yard we may find the vechile     :head_wall: :head_wall:

Buzz

Quote from: yabba on September 05, 2017, 08:13:53 PM
thanks buzz   now can you add a list as to where in the yard we may find the vechile     :head_wall: :head_wall:

Right next to the yellow one.  :wink_cheesy:
I am patient with stupidity, but not with those who are proud of it.

Buzz

IMPORTANT!! CHANGES TO ABOVE LIST AS FOLLOWS:



Run 021 is now bus 488
Run 062 is now bus 124
Run 100 is now bus 102
Run 218 is now bus 359
Run 246 is now bus 652
Run 258 is now bus 629
Run 276 is now bus 473
Run 2501 is now bus 822


As per Bobby Janks
I am patient with stupidity, but not with those who are proud of it.